337. 打家劫舍 III
力扣链接(中等):https://leetcode.cn/problems/house-robber-iii
小偷又发现了一个新的可行窃的地区。这个地区只有一个入口,我们称之为 root 。
除了 root 之外,每栋房子有且只有一个“父“房子与之相连。一番侦察之后,聪明的小偷意识到“这个地方的所有房屋的排列类似于一棵二叉树”。 如果 两个直接相连的房子在同一天晚上被打劫 ,房屋将自动报警。
给定二叉树的 root 。返回 在不触动警报的情况下 ,小偷能够盗取的最高金额 。
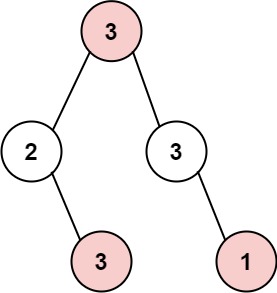
示例 1:

| Text Only |
|---|
| 输入: root = [3,2,3,null,3,null,1]
输出: 7
解释: 小偷一晚能够盗取的最高金额 3 + 3 + 1 = 7
|
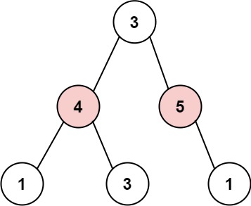
示例 2:

| Text Only |
|---|
| 输入: root = [3,4,5,1,3,null,1]
输出: 9
解释: 小偷一晚能够盗取的最高金额 4 + 5 = 9
|
提示:
- 树的节点数在
[1, 104] 范围内
0 <= Node.val <= 104
个人题解
记忆化搜索
由于当前节点需要依赖其子树的结果,所以选择后序遍历。
| C++ |
|---|
| /**
* Definition for a binary tree node.
* struct TreeNode {
* int val;
* TreeNode *left;
* TreeNode *right;
* TreeNode() : val(0), left(nullptr), right(nullptr) {}
* TreeNode(int x) : val(x), left(nullptr), right(nullptr) {}
* TreeNode(int x, TreeNode *left, TreeNode *right) : val(x), left(left), right(right) {}
* };
*/
class Solution {
public:
unordered_map<TreeNode*, int> umap;
int rob(TreeNode* root) {
if(!root) return 0;
if(root->left == NULL && root->right == NULL) return root->val;
// 记忆化搜索,每个节点至多被搜索一次,时间复杂度 O(n)
if(umap[root]) return umap[root];
// 后序遍历
// 偷取父节点,其儿子节点就不能偷
auto v1 = root->val;
if(root->left) v1 += rob(root->left->left) + rob(root->left->right);
if(root->right) v1 += rob(root->right->left) + rob(root->right->right);
// 不偷父节点
auto v2 = rob(root->left) + rob(root->right);
// 记忆化搜索,记录当前结果
umap[root] = max(v1, v2);
return umap[root];
}
};
|
动态规划(树形 DP)
树的遍历方式
由于当前节点需要依赖其子树的结果,所以选择后序遍历。
树形 DP
树形 DP 将 DP 与 二叉树的遍历相结合,以函数运行栈的方式体现 dp 数组关系。在递归函数运行栈中,每一层返回的 dp 相当于常规dp 数组中的 dp[i],当前层依赖上层的结果,后序内容中记为 dp[node]。
- 确定递归参数和返回值:
vector<int> robTree(TreeNode* node) 返回长度为 2 的 dp[node] 数组,分别代表偷/不偷该节点时,当前子树获得的最大金额。可自由定义顺序,本题解定义 dp[node] 为 {不偷,偷};
- 终止条件:显然,遇到空节点时返回
{0, 0},代表当前子树是空树,没有任何节点可以偷取;
- 遍历顺序:根据递推逻辑,选择后序遍历,因为当前节点依赖子树递归的返回值;
- 确定递归逻辑:
auto v1 = node->val + left[0] + right[0],auto v2 = max(left[0], left[1]) + max(right[0], right[1]) 如果偷取当前节点,则其儿子节点需要跳过,反之。上述代码分别为不偷取 node 和偷取 node 的情况;
- 手动推导
dp 数组无误。
| C++ |
|---|
| /**
* Definition for a binary tree node.
* struct TreeNode {
* int val;
* TreeNode *left;
* TreeNode *right;
* TreeNode() : val(0), left(nullptr), right(nullptr) {}
* TreeNode(int x) : val(x), left(nullptr), right(nullptr) {}
* TreeNode(int x, TreeNode *left, TreeNode *right) : val(x), left(left), right(right) {}
* };
*/
class Solution {
public:
int rob(TreeNode* root) {
auto result = robTree(root);
return max(result[0], result[1]);
}
// 返回 dp[node] vector{不偷取当前节点时获得的最大金额, 偷取当前节点时获取的最大金额}
vector<int> robTree(TreeNode* node) {
if(!node) return {0, 0};
// 后序遍历
auto left = robTree(node->left);
auto right = robTree(node->right);
// 偷当前节点,子节点就不能偷
auto v1 = node->val + left[0] + right[0];
// 不偷当前节点,子节点可偷可不偷,取最优
auto v2 = max(left[0], left[1]) + max(right[0], right[1]);
return {v2, v1};
}
};
|