96. 不同的二叉搜索树
力扣链接(中等):https://leetcode.cn/problems/unique-binary-search-trees
给你一个整数 n ,求恰由 n 个节点组成且节点值从 1 到 n 互不相同的 二叉搜索树 有多少种?返回满足题意的二叉搜索树的种数。
示例 1:

示例 2:
提示:
个人题解
-
dp[i] 为由 i 个节点组成的二叉搜索树个数;
-
将问题分割为以 1 到 i 作为头节点时,左右子树分别有多少种情况,从而推导出 dp[i] += dp[j - 1] * dp[i - j]。可以根据题目示例1来推导该公式,注:n = 1 有 1 颗二叉搜索树,n = 2 有两颗二叉搜索树,n = 3 时,将其分割为左右子树问题推导;
-
由于空树也可以看作一颗二叉搜索树,所以初始化 dp[0] = 1;
-
从递推公式可知 i 遍历顺序为从小到大,又因为需要枚举不同值 j 作为头节点,所以需要两层 for 循环;
-
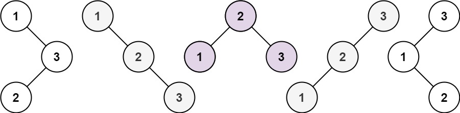
手动推导,结果无误!
| dp[3] 推导 |
|---|
| init: dp[0] = 1
[1 作为头节点] [2 作为头节点] [3 作为头节点]
dp[1] = dp[0] * dp[0] = 1
dp[2] = dp[0] * dp[1] + dp[1] * dp[0] = 2
dp[3] = dp[0] * dp[2] + dp[1] * dp[1] + dp[2] * dp[0] = 5
1 2 3
/ \ / \ / \
dp[0] dp[2] dp[1] dp[1] dp[2] dp[0]
|
| C++ |
|---|
| class Solution {
public:
int numTrees(int n) {
const int N = 25;
int dp[N] = {};
// dp[0] 可以看作一颗空树,所以初始化为 1
dp[0] = 1;
for(int i = 1; i <= n; i++) {
// 枚举从 1 ~ i 作为头节点的情况
for(int j = 1; j <= i; j++) {
// BST 左子树小于头节点,右子树大于头节点
// j - 1 代表左子树节点个数
// i - j 代表右子树节点个数
dp[i] += dp[j - 1] * dp[i - j];
}
}
return dp[n];
}
};
|